建築学系 News
医療従事者のウェルビーイングを支える環境設計に向けて

東京科学大学(Science Tokyo) 環境・社会理工学院 建築学系の海塩渉助教と沖拓弥准教授、東京科学大学病院 基盤診療部門 集中治療部の若林健二教授、野坂宜之准教授、野口綾子講師、仙頭佳起講師らの研究チームは、病院の集中治療室[用語1]では、特に光・音環境が医療従事者の総合的な環境満足度や作業への集中のしやすさと関連することを、環境測定とアンケート調査から明らかにしました。
本研究では集中治療部の医療従事者(医師と看護師)へのアンケートを実施し、環境への不満の原因は、1位が医療機器のアラーム音、2位が自然光の不足となりました。集中治療室における環境測定でも、比較的静かな夜間の等価騒音レベル[用語2]が54.5 dB(A)と、日本集中治療医学会の推奨値(45 dB(A))を大きく超過したほか、自然光が入らない病床の水平面照度[用語3]は自然光が入る病床の3分の1以下であり、ともにアンケートと一貫性のある結果が得られました。
病院の環境整備として、人材不足と作業負荷軽減に対する支援については多く議論されてきましたが、物理的な環境を考慮することも重要です。特に病院の集中治療室は、心電図や血圧、呼吸、体温を監視する生体情報モニタなど、日夜を問わず医療機器が鳴動する特殊な環境で、劣悪な環境による患者さんへの影響が懸念されていました。本研究からは、医療従事者目線でも室内環境の質にはまだまだ改善の余地があることが示唆されました。2024年より「医師の働き方改革」が開始され、主に医療従事者の長時間労働是正に焦点が当たっていますが、その目指すところは医療の質と安全性の担保にあります。医療従事者が健康に働き続けるための環境の質改善は、医療従事者が提供する医療の質を向上させ、患者さんに好影響をもたらす可能性があります。
本研究は東京工業大学・東京医科歯科大学マッチングファンドの助成を受けて実施され、成果は10月15日付の「Intensive and Critical Care Nursing」誌に掲載されました。
少子高齢化に伴う医療ニーズの増加と医療の担い手の減少を背景に、今後、医療従事者に対する負担のさらなる増加が予想されます。こうした中、医療従事者が健康に働き続けることのできる環境整備に向けて、2024年から「医師の働き方改革」が開始されました。この「働き方改革」では、労務管理の徹底や労働時間の短縮に焦点が当てられていますが、働き方を下支えする「働く場」の改革も重要と考えられます。特に、病院の集中治療室(ICU)は、生命の危機に直面する重症患者に対して24時間体制で集中的な治療を行うための場所で、医療従事者にかかる負担も極めて大きい環境です。ICUの多くの医療機器(生体情報モニタ、人工呼吸器など)は作動音やアラーム音も大きいため、ICUの室内環境の質は劣悪であることが懸念されてきました。しかし、これまでICUの室内環境の質を包括的に検証した事例はほとんどありませんでした。
本研究では、オープンフロア[用語4]を基本とした大学病院のICUとハイケアユニット(HCU)[用語5]を対象とし、2023年7~9月に包括的な環境測定(温湿度・空気質・照度・騒音)と医療従事者へのアンケートを実施しました。
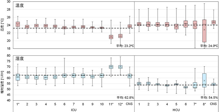
環境測定の結果、温度のICU平均は23.2℃、HCU平均は24.0℃、湿度のICU平均は62.8%、HCU平均は54.5%でした(図1)。日本集中治療医学会の集中治療部設置のための指針[参考文献1]では、「年間を通して温度は24~25℃、相対湿度は50%が望ましいが、患者の快適性にも選択基準を置き、良好な室内環境を保持すること」とされており、平均的には良好な環境に保たれていました。温度が低く湿度が高い一部の個室(図1中のICU 11、12)は、オープンフロアと個室のICUが同じ空調機で制御されていることから、個別に調節ができず、個室のICUが過冷却になった可能性があります。

図1. ICUとHCUの温度と相対湿度(*は個室、CNSはスタッフステーションを示す)
空気質については、CO2濃度のICU平均は458 ppm、HCU平均は480 ppm、PM2.5質量濃度のICU平均は0.1 µg/m3、HCU平均は0.3 µg/m3でした(図2)。これは新型コロナウイルス感染症流行時の基準であるCO2濃度1,000 ppm以下やWHO global air quality guidelines[参考文献2]の15 µg/m3の基準を大幅に下回る結果で、空気質は全体として非常に良好でした。

図2. ICUとHCUのCO2とPM2.5濃度(*は個室、CNSはスタッフステーションを示す)
照度については、ICU内でも自然光が入る病床と入らない病床の差が顕著で、自然光が入る病床の754 lxに対し、自然光が入らない病床は218 lxでした。ICU病床の水平面照度を時刻別に見ると、自然光が入らない病床では1日を通して低い値で安定しているのに対して、自然光が入る病床は日内の変動と日ごとの変動(エラーバー)がともに大きい状況でした(図3)。

図3. 自然光が入るICU病床と入らない病床の照度の比較(エラーバーは標準偏差を示す)
等価騒音レベルについては、ICUの3つの病床の24時間平均は57.7 dB(A)、夜間は54.5 dB(A)でした。1分間の等価騒音レベルを5dB(A)ごとに区分して発生時間の割合を見ると、ICUの3つの病床で、日本集中治療医学会の「集中治療部設置のための指針」が推奨する45 dB(A)を下回る時間がありませんでした(図4)。一方で、HCUの2つの病床の24時間平均は50.2 dB(A)、夜間平均は47.3 dB(A)で、HCUでは45 dB(A)を下回る時間もありました。ICUとHCUでは、ICUの方が患者さんの重症度が高いため、騒音源となる医療機器の数が多かったことが、この違いの一因と考えられます。

図4. ICUとHCUにおける等価騒音レベルの発生時間割合の比較
次に、医療従事者24名を対象としたアンケートで、上記のように測定した環境要因についての不満を見てみると、1位は機器のアラーム音(23名)、2位は自然光が入らないこと、自分で空調の調節ができないこと(19名)でした(図5)。これは環境測定の結果と一貫しており、病院の物理的な環境改善の必要性が示されました。

図5. 温熱・空気・光・音環境要因に対する不満(医療従事者24名の回答)
さらにアンケート結果を基に、温熱・空気・光・音環境の満足度と、総合的な環境満足度や作業への集中のしやすさの関連を分析したところ、光・音環境満足度は総合的な環境満足度に対する寄与が大きいこと、さらに光環境満足度は作業への集中のしやすさとも関連することが分かりました。
本研究で調査したICUの医療従事者は光・音環境に多くの不満を抱えており、これらは総合環境満足度や働きやすさを左右する可能性があることが明らかになりました。従って、医療従事者の働き方改革では見落とされがちな「働く場改革」も、労働時間の短縮などと同様に重要であると考えられます。医療従事者にとって働きやすい環境整備は、医療の質の向上を介し、患者さんにも間接的に好影響がもたらされることが期待されます。
本研究ではICUの環境の質の実態を、環境測定と医療従事者へのアンケートにより客観と主観の両面から把握しました。ICUは、医療従事者にとって働く場であると同時に、患者さんにとっては生活の場であり、医療従事者目線で重要とされた光・音環境は患者さんの睡眠の質にも影響を及ぼす可能性があります。今後は、脳波を計測しながら良質な睡眠を実現する室内環境を検証し、集中治療室のあるべき姿を患者さんと医療従事者の双方の視点で探究していく予定です。
また、今回調査対象としたようなオープンフロアICUが多い中、近年は個室ICUが推奨され[参考文献3]、実際に増加傾向にあります[参考文献1]。東京科学大学病院のC棟(機能強化棟)でも、全室個室のICUが採用されています。今後はこのような建築的な差異による室内環境の質の違いについても探究していく必要があります。
本研究は、東京工業大学・東京医科歯科大学マッチングファンド(動線・環境・生体計測データの時空間解析に基づく集中治療室における新たな「医療の質指標」の開発:東京医科歯科大学病院新旧両棟の比較、研究代表者:沖拓弥・若林健二)、および日本学術振興会(JSPS)科学研究費助成事業基盤研究(B)(課題番号:JP25K01375、研究代表者:海塩渉)の助成により実施されました。
| [用語1] | 集中治療室(ICU):生命の危機にある重症患者に対し、高度な医療機器と専門スタッフによる24時間体制の集中的な監視・治療を行うためのユニット。 |
|---|---|
| [用語2] | 等価騒音レベル:ある時間内で変動する騒音レベルをエネルギー的な平均値として表したもの。「デシベルエー(dB(A)」という単位で表される。 |
| [用語3] | 水平面照度:明るさの程度の指標で、「ルクス(lx)」という単位で表される。1 lxは1 m2あたり1ルーメン(lm)の光が入射している状態を指す。 |
| [用語4] | オープンフロア:複数の患者のベッドが壁で仕切られずに、オープンな空間に配置されている形態。 |
| [用語5] | ハイケアユニット(HCU):一般病棟と集中治療室(ICU)の中間的な役割を担う室で、ICUで緊急度の高い状況を脱したものの、一般病棟では対応が難しい患者等を対象とし、24時間体制の集中的な監視・治療を行うためのユニット。 |
| 掲載誌: | Intensive and Critical Care Nursing |
|---|---|
| タイトル: | Multi-domain indoor environmental quality in intensive care units from a healthcare worker perspective: An observational study in Japan |
| 著者: | Wataru Umishio†,*, Nobuyuki Nosaka, Ayako Noguchi, Takuya Oki, Yoshiki Sento, Kenji Wakabayashi(†第一著者、*責任著者) |
| DOI: |
10.1016/j.iccn.2025.104257 |
海塩 渉 Wataru Umishio
東京科学大学 環境・社会理工学院 建築学系 助教
研究分野:建築環境工学、公衆衛生学
野坂 宜之 Nobuyuki Nosaka
東京科学大学病院 基盤診療部門 集中治療部/
東京科学大学 大学院医歯学総合研究科 生体集中管理学分野 准教授
研究分野:集中治療医学、集中治療後症候群、小児救急・集中治療医学
野口 綾子 Ayako Noguchi
東京科学大学病院 基盤診療部門 集中治療部/
東京科学大学 大学院保健衛生学研究科 看護先進科学専攻 講師
研究分野:クリティカルケア看護学
沖 拓弥 Takuya Oki
東京科学大学 環境・社会理工学院 建築学系 准教授
研究分野:建築計画学
仙頭 佳起 Yoshiki Sento
東京科学大学病院 基盤診療部門 麻酔・蘇生・ペインクリニック科/
東京科学大学 大学院医歯学総合研究科 心肺統御麻酔学分野 講師
研究分野:麻酔科学、集中治療医学、周術期管理医学
若林 健二 Kenji Wakabayashi
東京科学大学病院 基盤診療部門 集中治療部/
東京科学大学 大学院医歯学総合研究科 生体集中管理学分野 教授
研究分野:集中治療医学、生理学、病院管理学